Machine Learning Basics


Fundamentals
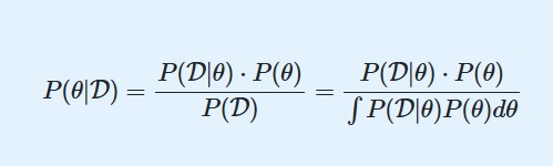
Comprehensive coverage: Bayes, Factor Models, PPCA, SSL, PAC Learning, Bias-Variance, SGDM, Legendre Transform, MALA, Hyperbolic Space
Machine Learning for Wireless Communication
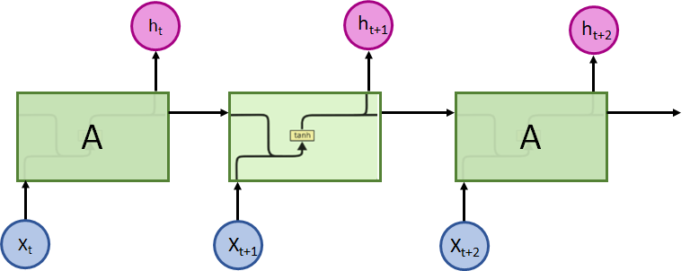
Advanced LSTM implementation for automatic modulation classification with extended architecture details, performance analysis, and real-world applications.




RNN for Wireless Signal Detection
Leveraging temporal patterns in received signals using Recurrent Neural Networks for robust symbol detection.
LSTM vs OFDM BER Curve in AWGN
Write a short description of this category
NR PUSCH Receiver with LSTM


PUSCH with LSTM
Complete TX, Channel, and RX design with interactive demonstrations, mathematical derivations, and simulation results.
Paper Discussion
Paper -1
Write a short description of this category
Paper -2
Write a short description of this category
Paper -3
Write a short description of this category