OFDM Systems

OFDM Fundamentals

Deep dive into orthogonality principles with complete mathematical proofs, multipath analysis, and interactive sinc spectrum visualizations

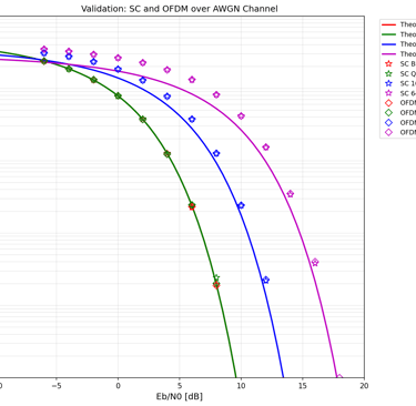
OFDM BER Curve in AWGN

OFDM simulation framework for BER performance across all modulation schemes

3GPP NR

NR PUSCH

Paper Discussions

OFDM Timing Synchronization

Complete mathematical derivation with CRLB analysis, BLUE estimator, and step-by-step implementation